Printable DB
Investing Vocabulary Worksheet
chevrolet bracklightdiagrame
chapter 1 history and trends of healthcare worksheet answer key
bedtime routine chart printable
2002 lexu es300 camshaft
330xi wiring diagram
audit engagement letter sample doc
appraisal institute certification
cat6 to hdmi connector
Vocabulary Investing Student Worksheet Pdf Free Download
Vocabulary Investing Student Worksheet Pdf Free Download
Vocabulary Investing Student Worksheet Pdf Free Download
Vocabulary Investing Student Worksheet Pdf Free Download
Enterprise System Vocabulary Terms Worksheet Is Free To
Vocabulary 1 Interactive Worksheet
Vocabulary Financial Institutions Student Worksheet Pdf
Check Your Vocabulary For Academic English 071368285x 723
Business Vocabulary Money Esl Worksheet By Nuur
Business Vocabulary Work Job Money Esl Worksheet By Kejt88
Investment Terms Everyone Should Know
Indiana Department Of Financial Institutions
Real Estate Exam Vocabulary Worksheet Real Estate Exam
Economics Word Search And Vocabulary Worksheet Printables
Vocabulary Financial Institutions Student Worksheet Pdf
English Vocabulary For The Bank
Advanced Business Reading Facebook Investment Ny Times
Econ 4 Pdf Unit 4 Money Banking And Finance Vocabulary
Personal Finance Vocabulary One Crossword Wordmint
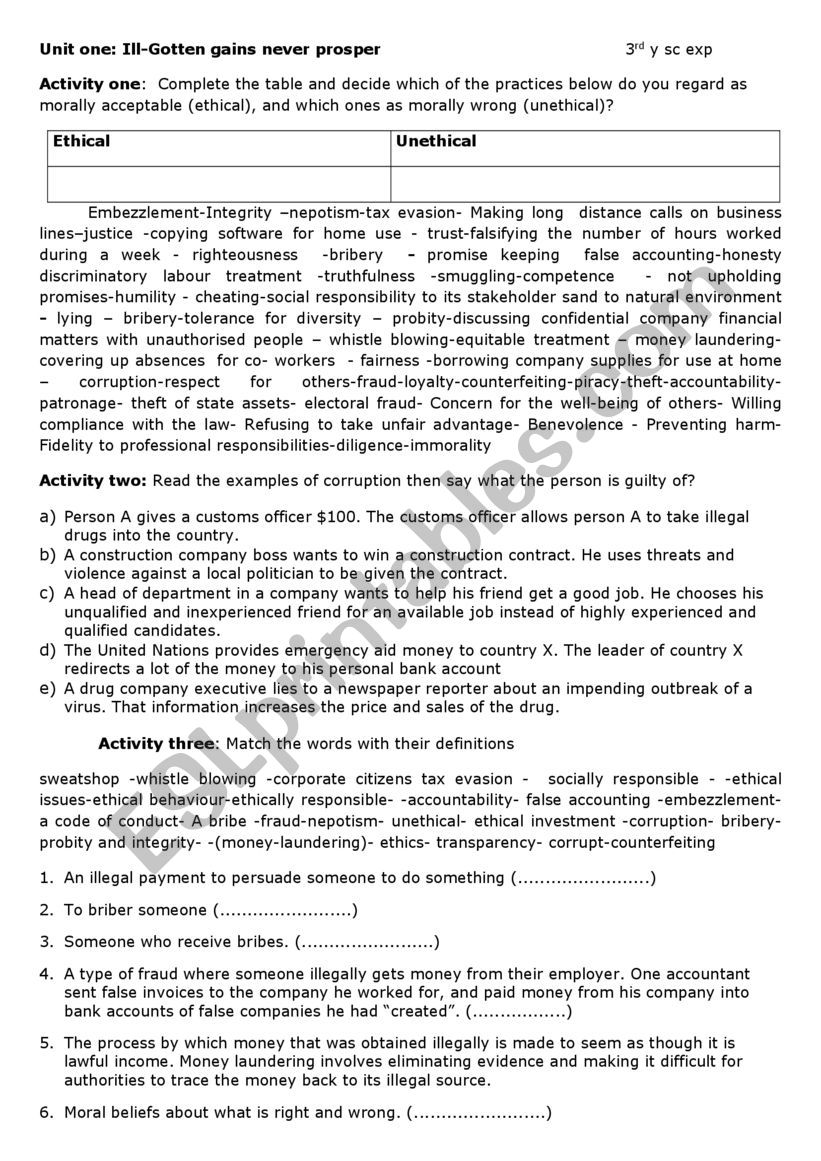
Ethics In Business Vocabulary Esl Worksheet By Magnito007
Business Vocabulary Esl Worksheet By Susanabaldoni
Source :
pinterest.com
Popular Posts
Avery 8376 Template Download
2006 Pontiac Wave Wiring Diagram
Agile Analysis Certification Cost
2002 Chevrolet Camaro Fuse Box
2004 Dodge Caravan Engine Diagram
Cig Lighter Fuse Panel Diagram For 2000 Mustang
Cash Hand Written Receipt Template
Buick Regal Fuse Box
1999 Dodge Cummin Fuel Filter Housing
Blank Board Game Template Free
Access Bank Statement Of Account Sample
2013 Ford F650 Fuse Box Diagram
2011 Ranger Wiring Diagram
94 S10 Blazer New Ad
2003 Vw Beetle Fuse Amp
2000 Mustang Gt Wiring Harnes
2009 Ford Explorer Fuse Box
2000 Ford Windstar Fuse Layout
2011 Dodge Durango Fuse Diagram
2000 Nissan Frontier Stereo Wiring Diagram
Calling Card Template Free Download
Bathroom Light Switch Wiring Diagram
71 Beetle Wiring Diagram
Adidas Invoice Template
1995 Cadillac Eldorado Fuse Diagram
Bhp Certification Maine
2002 Suzuki Grand Vitara Fuse Box Diagram
91 Ford F 350 Fuse Box Diagram
Camera Log Template Excel
Cma Certification Louisiana
Coat Of Arms Template Printable Free
Cash Book Template Excel
Calendar Template December 2019
Childrens Stations Of The Cross Printable
Business Formal Request Letter Format
3 Phase Motor Terminal
Car Accident Settlement Letter Template
12 Month Calendar Template April 2020
Best App To Keep Track Of Expenses And Receipts
Aws Dba Certification
Audi A4 2 0t Engine Diagram
Aapc Certification Exam Cost
05 Chevy Wiring Diagram
40x60 Shop Wiring Diagram
Character Reference Letter Templates
Chibi Anime Girl Template Body
1993 F150 Wiring Diagram
Blank Invoice Printable Word
Church Accounting Spreadsheet Templates
2000 Npr Wiring Diagram
2010 F350 Ac Electrical Wiring
65 Lincoln Continental Diagram Wiring Schematic
Air Force Memorandum Of Agreement Template
Business Free Logo Design Templates
1996 Land Rover Discovery Wiring Diagram